×
模态框(Modal)标题
在这里添加一些文本
关闭
关闭
提交更改
取消
确定并提交
×
模态框(Modal)标题
×
中国高校科技期刊信息汇聚平台
Toggle navigation
首页
期刊介绍
在线期刊
最新录用
当期目录
过刊浏览
阅读排行
下载排行
引用排行
E-mail Alert
联系我们
图/表 详细信息
冷拉07Cr17Ni7Al微细丝材的组织及性能演变规律
何钦生, 王建桥, 赵振, 李方, 张十庆, 王宏, 邹兴政, 唐远寿, 黄敏, 黎静
材料工程, 2025, 53(
3
): 83-94. DOI:
10.11868/j.issn.1001-4381.2023.000785
图9
07Cr17Ni7Al丝材的弹性性能 (a)冷拉变形量对弹性后效临界应力的影响;(b)冷拉变形量对弹性极限的影响
本文的其它图/表
表1
实验用07Cr17Ni7Al的化学成分(质量分数/%)
图1
固溶态07Cr17Ni7Al丝材的金相照片(a)光学显微镜金相照片;(b)δ铁素体识别分析
图2
07Cr17Ni7Al丝材的室温力学性能(a)冷拉态丝材工程应力-应变曲线;(b)冷拉态丝材加工硬化曲线和真应力-应变曲线;(c)时效态丝材工程应力-应变曲线;(d)时效态丝材加工硬化曲线和真应力-应变曲线
图3
07Cr17Ni7Al丝材的弹性后效 (a)冷拉态丝材;(b)时效态丝材
表2
07Cr17Ni7Al丝材的弹性后效非线性(PWL2)拟合结果
图4
冷拉态和时效态07Cr17Ni7Al丝材弹性后效比较
表3
施加应力为931 MPa时的弹性后效
图5
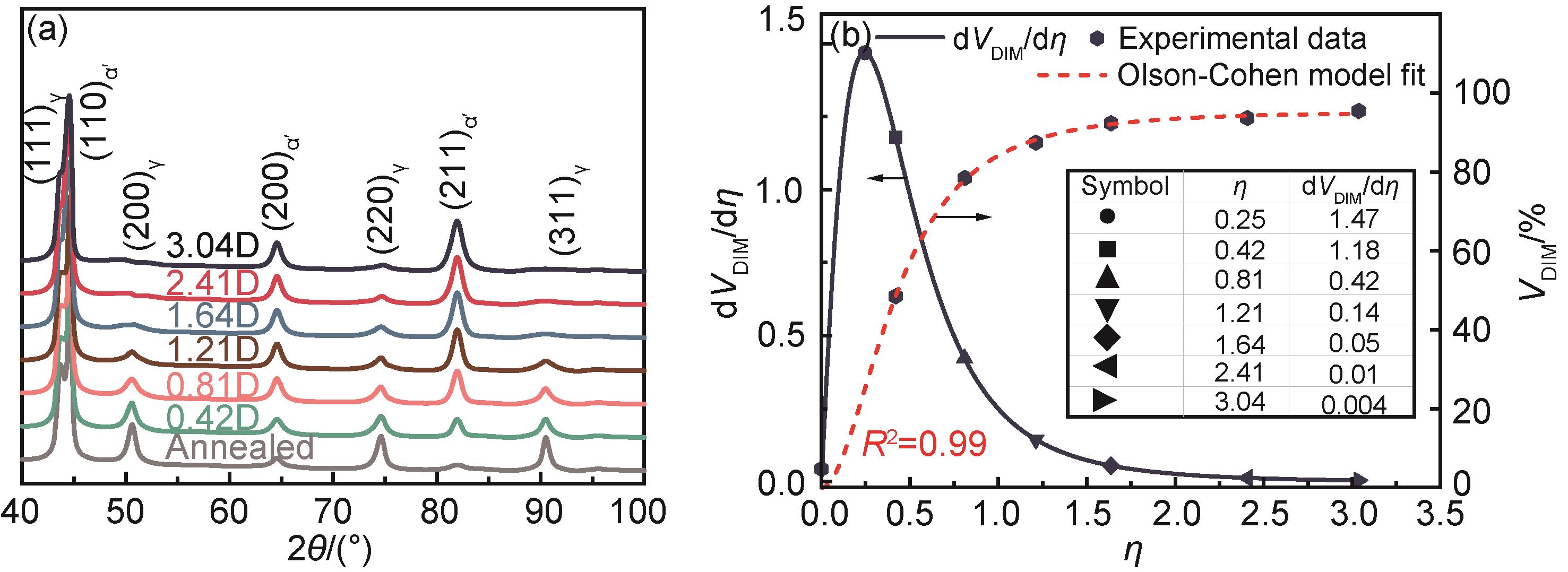
07Cr17Ni7Al丝材的马氏体含量(a)XRD图谱;(b)马氏体含量及马氏体相变的应力敏感性
图6
固溶态07Cr17Ni7Al丝材的微观形貌(a)低倍;(b),(c)图(a)局部放大图;(d)高倍
图7
冷拉态(
η
=2.41)07Cr17Ni7Al丝材的微观形貌 (a)低倍;(b)高倍
图8
不同冷拉变形量07Cr17Ni7Al丝材的室温力学行为(a)加工硬化曲线最大值对应的真应变;(b)加工硬化指数;(c)抗拉强度;(d)时效处理前后抗拉强度差值
表4
07Cr17Ni7Al丝材的弹性极限
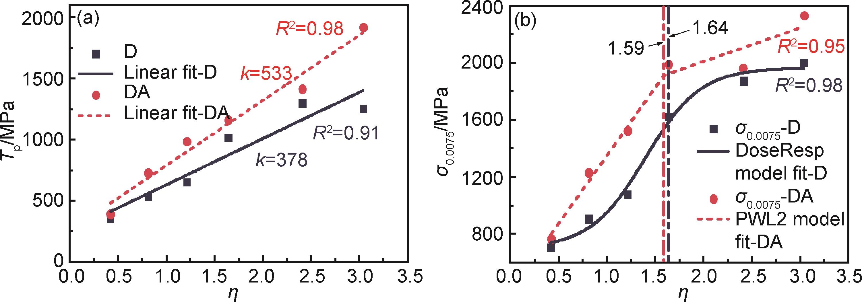
图10
马氏体含量对抗拉强度、弹性极限和弹性后效临界应力的影响 (a)冷拉态;(b)时效态